GCN 43245: GRB 251226A: SVOM/GRM observation
SVOM/GRM team: Chen-Wei Wang, Wen-Jun Tan, Xue-Yuan Zao, Yue Huang, Shi-Jie Zheng, Shao-Lin Xiong, Shuang-Nan Zhang (IHEP)
SVOM/ECLAIRs team: Olivier GODET (IRAP)
Report on behalf of the SVOM team:
SVOM/GRM was triggered in-flight GRB 251226A (SVOM trigger reference: sb25122601) at 2025-12-26T08:01:05.000 UTC (T0), which is also detected by GECAM-B (Wang et al., GCN#43244) and HXMT.
With the event-by-event data downloaded through the X-band ground station, the GRM light curve shows that this burst consists of a precursor followed by a main emission with a T90 of 58.7 +9.0/-9.4 s in the 15-5000 keV band.
The SVOM/GRM light curve can be found here:
https://www.bursthub.cn//admin/static/svgrb251226A.png
In addition, the position of this burst, as determined by GECAM-B (RA= 260.2, DEC= 47.0, ERR=9.1), is located at about 125 degrees from the SVOM optical axis, which is outside the ECLAIRs field of view.
With this localization, the time-averaged spectrum from T0-3 to T0+100 s is best fitted by a power law function with an exponential high-energy cutoff. The power law index is -1.29 +0.22/-0.19 and the cutoff energy, parameterized as Epeak, is 632 +279/-146 keV. The event fluence (10-1000 keV) in this time interval is (4.33 +0.20/-0.21)E-05 erg/cm^2.
The 1s peak spectrum, measured from T0+3 to T0+4 s, is also best fitted by a power law function with an exponential high-energy cutoff. The power law index is -1.18 +0.27/-0.20 and the cutoff energy, parameterized as Epeak, is 1520 +122/-56 keV. The flux (10-1000 keV) in this time interval is (2.61 +0.17/-0.17)E-06 erg/cm^2/s.
The localization of GRB 251226A in the 'Amati' relation diagram is shown at:
https://www.bursthub.cn//admin/static/svgrb251226A_amati.png
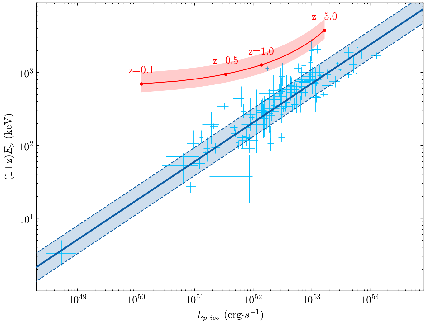
And the localization in the 'Yonetoku' relation diagram is shown at:
https://www.bursthub.cn//admin/static/svgrb251226A_yonetoku.png
The Space Variable Objects Monitor (SVOM) is a China-France joint mission led by the Chinese National Space Administration (CNSA, China), National Center for Space Studies (CNES, France) and the Chinese Academy of Sciences (CAS, China), which is dedicated to observing gamma-ray bursts and other transient phenomena in the energetic universe. GRM is developed by the Institute of High Energy Physics (IHEP) of CAS.
The SVOM point of contact for this burst is: Chen-Wei Wang (IHEP)(cwwang@ihep.ac.cn)


