GCN 43042: GRB 251208A: SVOM/GRM observation of a short burst
SVOM/GRM team: Yue Wang, Chen-Wei Wang, Wen-Jun Tan, Shi-Jie Zheng, Yue Huang, Shao-Lin Xiong, Shuang-Nan Zhang (IHEP)
SVOM/ECLAIRs team: Frédéric Daigne (IAP)
Report on behalf of the SVOM team:
SVOM/GRM was triggered in-flight by GRB 251208A (SVOM trigger reference: sb25120804) at 2025-12-08T09:25:58.000 (T0), which is also detected by Fermi/GBM (Fermi GBM team, GCN #43027).
With the event-by-event data downloaded through the X-band ground station, the GRM light curve shows that this burst consists of a single pulse with a T90 of 2.2 +0.9/-0.5 s in the 15-5000 keV band.
The SVOM/GRM light curve can be found here:
https://www.bursthub.cn//admin/static/svgrb251208A.png
In addition, the position of this burst, as determined by Fermi/GBM (RA = 32.8, Dec = -66.7, position uncertainty = 3.9, GCN #43027), is located at about 61 degrees from the SVOM optical axis, which is outside the ECLAIRs field of view.
With this localization, the time-averaged spectrum from T0-1 to T0+2 s is best fitted by a power law function with an exponential high-energy cutoff. The power law index is -1.20 +0.19/-0.18 and the cutoff energy, parameterized as Epeak, is 135 +51/-27 keV. The event fluence (10-1000 keV) in this time interval is (1.29 +0.19/-0.14)E-06 erg/cm^2.
The 1s peak spectrum, measured from T0-0.6 to T0+0.4 s, if fitted by a power law function with an exponential high-energy cutoff, the power law index is -0.98 +0.17/-0.18 and the cutoff energy, parameterized as Epeak, is 139 +33/-21 keV. The flux (10-1000 keV) in this time interval is (7.79 +0.91/-0.72)E-07 erg/cm^2/s.
The localization of GRB 251208A in the 'Amati' relation diagram is shown at: https://www.bursthub.cn//admin/static/svgrb251208A_amati.png
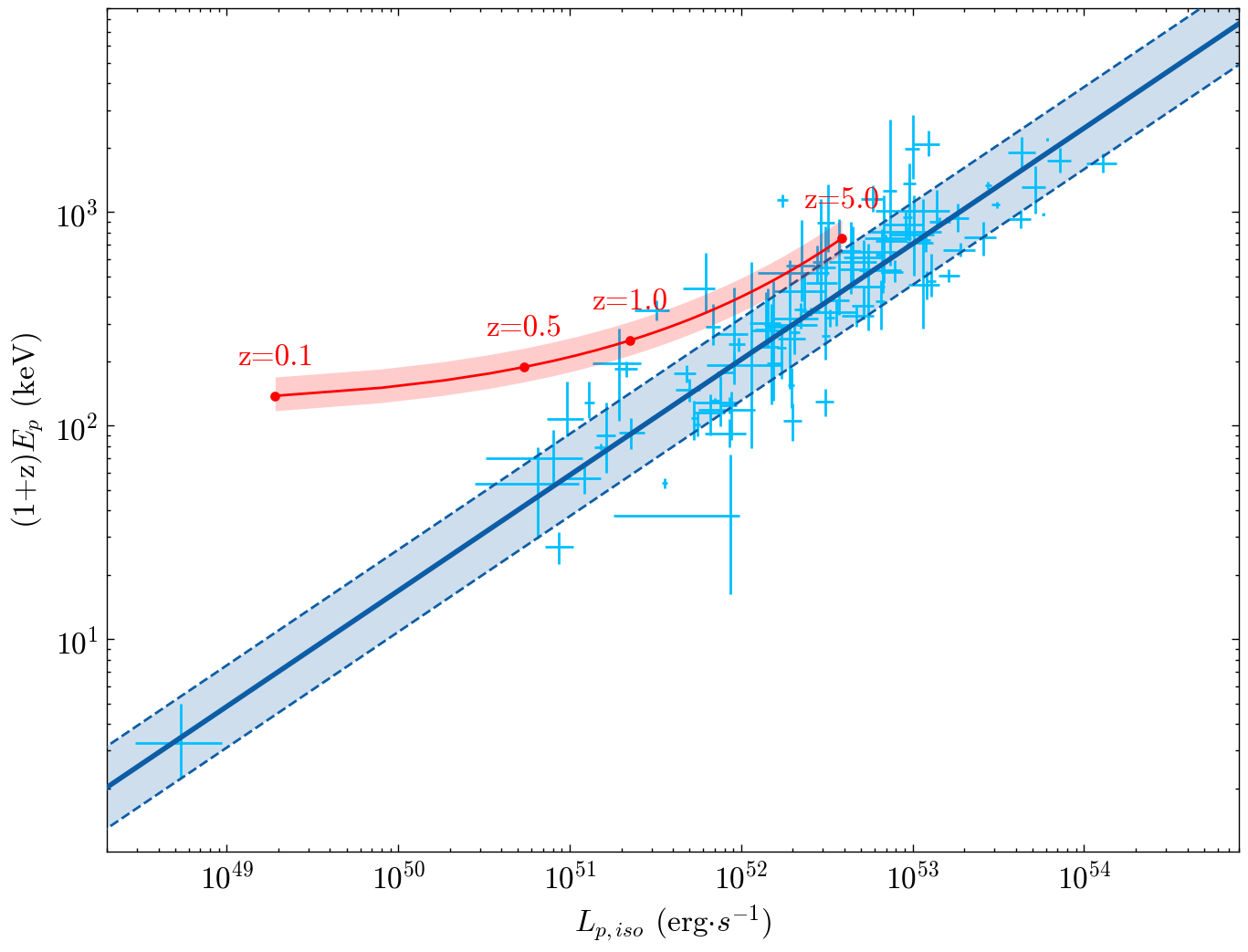
The localization of GRB 251201A in the 'Yonetoku' relation diagram is shown at:
https://www.bursthub.cn//admin/static/svgrb251208A_yonetoku.png
In the absence of a measured redshift, the duration, soft spectrum, and position in the Amati diagram do not allow us to determine whether this burst is type I or type II.
The Space Variable Objects Monitor (SVOM) is a China-France joint mission led by the Chinese National Space Administration (CNSA, China), National Center for Space Studies (CNES, France) and the Chinese Academy of Sciences (CAS, China), which is dedicated to observing gamma-ray bursts and other transient phenomena in the energetic universe. GRM is developed by the Institute of High Energy Physics (IHEP) of CAS.
The SVOM/GRM point of contact for this burst is: Yue Wang (IHEP) (yuewang@ihep.ac.cn)


